线上教学过程中,老师是否有必要“露面”?教师呈现对哪些学习者更有帮助? 近期,本实验室在读研究生张雨阳和杨静教授、温植胜教授在国际学术期刊Journal of Intelligence新发表了题为“Learners with Low Working Memory Capacity Benefit More from the Presence of an Instructor’s Face in Video Lectures”的研究论文。该研究采用眼动技术,对上述问题进行了探究。
1. 研究背景
视频课程(video lectures)在线上学习中得到了广泛应用,其设计的有效性也成为了许多教育工作者和研究者关注的焦点。其中一个重要的研究问题是:教师形象是否应该出现在教学视频中?即教师呈现会对学习产生促进还是阻碍效果?
多媒体学习涉及三种认知加工:外在认知加工(extraneous cognitive processing), 核心认知加工(essential cognitive processing)和生成认知加工(generative cognitive processing)(Mayer 2014, 2021)。对于视频课程中的教师呈现效应,先前研究的主要争论在于,它是作为积极的社会线索(social cue)促进生成认知加工,帮助学习,还是作为外在无关信息(extraneous information)诱发更多外在认知加工,阻碍学习。
社会代理理论(social agency theory, Mayer, 2014)认为,在多媒体教学中增加社会线索能提高学习者的社会存在感(social presence),促进学习者积极理解老师所讲的内容,从而获得更好的学习成效。因此,根据该理论,教学视频中所呈现的教师及其传达的社会线索(如教师的表情、注视、姿势)能够促进生成加工,提高学习成效。另一方面,在视频中呈现老师的图像相当于增加了额外的视觉刺激,学习者的注意力可能会从学习内容转移到所呈现的老师身上。当学习者的注意力不得不频繁地在老师和学习内容之间转换时,就可能引起注意力分散(the split-attention effect, Sweller et al. 2011)。此外,频繁的注意力转换会给学习者造成认知负担,因为学习者有限的工作记忆难免用于与教学目标不直接相关的外在加工,从而导致更高的外在认知负荷(extraneous cognitive load, Sweller et al. 2011)。
显然,无论是生成加工还是外在加工,都依赖于学习者有限的工作记忆容量(working memory capacity, WMC) (Sweller et al. 2011; Mayer 2021; DeLeeuw and Mayer 2008)。然而,先前研究在探讨教学视频中的教师呈现效应时,未考虑学习者的工作记忆能力差异。因此,该眼动研究探索教师呈现效应及学习者的WMC对其学习成效和注意力分配的影响。研究旨在回答以下两个问题:
(1) 教师呈现是否对学习成效产生影响? 学习者的WMC是否对教师呈现效应具有调节作用?
(2) WMC不同的学习者在观看有教师呈现的视频时,注意力分配是否存在差异?
2. 研究方法
64名中国大学生根据其于运算广度测试(OSPAN test)的结果,被分为WMC高低两组。实验过程中,被试按要求观看了三种类型的视频:有教师画外音但无呈现的视频(video–no instructor, VN)、有教师面部静态图片呈现的视频 (video-instructor’s face picture, VP)和有教师讲解的视频(video-instructor’s talking video,VV)。观看完每个视频后,被试需要完成一个理解判断测试任务,包含8道正误判断题,并对视频内容进行熟悉度和难度打分。

图1 实验范式(a), 有教师讲解的视频条件(b), 理解测试问题示例(c)
3. 研究结果
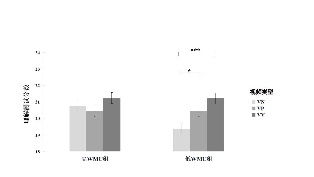
研究结果发现,对于低WMC组,教学视频中老师形象的存在(无论是以静态图片还是动态视频的方式呈现)显著地提高了其理解测试得分。然而,对于高WMC组,老师的存在没有对其学习成效产生影响,即他们在有/无老师的视频条件下理解测试得分没有显著差异。

图2 工作记忆容量高低组在三个条件下的理解测试得分
(*p < .05; ***p < .001)
与此同时,眼动数据结果显示:在观看有老师呈现的视频时(PV和VV两种视频类型), 低WMC组比高WMC组花了更多时间注视老师这一兴趣区。

图3 “教师呈现”兴趣区的注视点百分比 (*p < .05)

图4 “教师呈现”兴趣区注视时长百分比 (*p < .05)
4. 讨论
本研究探讨了视频教学中学习者的WMC对教师呈现效应的调节作用。我们发现,与高WMC的学习者相比,低WMC的学习者花了更多的时间注视屏幕上所呈现的老师,并从中受益了更多。总体上,我们发现了积极的教师呈现效应,即教师存在对学习成绩具有促进作用。这为社会代理理论提供了实证支持:教学视频中老师形象的呈现作为一种积极社会线索能够促进学习者的生成认知加工,从而提高其学习成效。
与此同时,积极的教师呈现效应在低WMC组更为显著。该结果虽与直觉相悖,但也能从先前研究中找到相关解释。例如,以往研究发现,看似弱势的学习者群体(e.g., learners with low prior knowledge or struggling L2 learners)往往能从多媒体教学设计和基于技术的多模态信息中受益更多(Mayer, 2021; Legault et al. 2019)。此外,另一种可能是,本研究中使用的简短视频不足以对WMC较低的学习者构成较大的挑战。因此,教师的呈现无论是图片还是视频,在这种低负荷情况下,没有对学习者带来超额的认知负担。相反,他们下意识还能利用教师呈现这一有价值的社会线索,促进对学习内容的理解。
5.结语
本研究强调了在视频课程中教师存在作为社会线索的价值,这对WMC较低的学习者尤其有益。因此,为了帮助学习者,建议老师们上课时打开摄像头,或在讲座或者视频报告中嵌入教师的同步讲解视频。与此同时,该研究也呼吁在线教育应更多地探索、关注学习者的个体差异,保障线上教育的教学质量和效益。
原文出处:Zhang, Y., Yang, J., & Wen, Z. (2023). Learners with low working memory capacity benefit more from the presence of the instructor’s face in video lectures. Journal of Intelligence, 11 (1), 5.
原文链接:https://doi.org/10.3390/jintelligence11010005
主要参考文献:
DeLeeuw, Krista E., and Richard E. Mayer. 2008. A comparison of three measures of cognitive load: Evidence for separable measures of intrinsic, extraneous, and germane load. Journal of Educational Psychology 100: 223–34.
Legault, Jennifer, Jiayan Zhao, Ying-An Chi, Weitao Chen, Alexander Klippel, and Ping Li. 2019. Immersive virtual reality as an effective tool for second language vocabulary learning. Languages 4: 13.
Mayer, Richard E. 2014. Principles based on social cues in multimedia learning: Personalization, voice, image, and embodiment principles. In The Cambridge Handbook of Multimedia Learning, 2nd ed. New York: Cambridge University Press, pp. 345–68.
Mayer, Richard E. 2021. Multimedia Learning, 3rd ed. New York: Cambridge University Press.
Sweller, John, Paul Ayres, and Slava Kalyuga. 2011. Cognitive Load Theory. New York: Springer.