新冠疫情下,为保障学生停课不停学,很多学校不得不由线下教学转为线上教学。线上学习突破了时间与空间的限制,但与传统的线下教学相比,缺乏师生面对面的互动。对此,多媒体学习理论 (Mayer, 2014) 建议在教学视频中增加一定的社会性线索 (social cues) 来提高学习者的社交临场感 (social presence)。其中,最直接的方式就是在视频中加入授课教师元素。
“钉钉”、“腾讯会议”、“zoom”等网课软件或会议平台支持老师轻松“露面”,打开摄像头即可。对于是否“露面”,老师们有不同的选择,学生们也有各自的偏好。
那么教师形象到底有没有必要出现在教学视频中呢?教师存在 (instructor presence) 究竟会对学习产生促进还是干扰作用呢?学习者的个体差异(如性别,年龄,认知能力等)是否会影响教师存在发挥作用呢?
近期,本实验室在读研究生张雨阳和杨静教授在国际学术期刊 Brain Sciences新发表了题为 “Exploring Gender Differences in the Instructor Presence Effect in Video Lectures: An Eye-Tracking Study”的研究论文。该研究采用眼动技术, 探究了教学视频中教师存在对男女性学习者学习成效和注意力分配的影响。

眼动研究实验场景及不同实验条件
(a:无老师; b:老师静态图片; c:老师动态视频; d:理解判断题示例)
64名大学生(男女各32名)共观看了9个教学视频。根据视频中是否呈现老师,9个视频被分为三个条件:无老师 (audio-video condition,AV), 老师静态图片 (picture-video condition, PV), 和老师动态视频 (video-video condition,VV)。视频内容涉及科学,历史,文学等主题,每个视频时长约为两分钟。观看完每个视频后,被试需要完成一个理解判断测试任务,包含8道正误判断题,并对视频内容进行熟悉度和难度打分。

实验范式
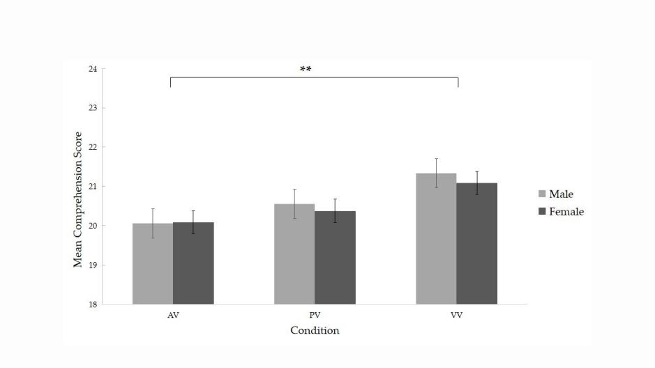
研究结果发现,学习者在观看有老师动态视频的条件下(VV)理解测试分数显著高于另外两个条件,无老师 (AV) 或有老师静态图片(PV)。另外,男女性学习者在各个条件的得分无显著差异。

男女被试在三个条件下的理解测试得分
而眼动数据分析结果显示:学习者在观看有动态老师呈现的视频 (VV) 时,注意力分配存在男女差异。具体而言,女性学习者倾向于更多地看向所呈现的老师 (longer dwell time), 而男性学习者则在学习内容与老师之间进行了更多的注意力转换 (more transitions)。

男女被试对所呈现老师的注视时长

男女被试在文本与老师之间的眼跳次数(VV)
结果讨论发现,老师在教学视频中的动态呈现有助于提高学习者的学习成效。该结果为社会代理理论 (social agency theory, Mayer, 2014) 的假设提供了实证证据:教学视频中的教师形象能够增加学习者的社交临场感 (social presence), 让他们感受到自己与老师的在线互动是真实的;另外,老师所传达的社会性线索 (e.g., voice, eye gaze, and expression) 会进一步激发学习者进行更深层次的认知加工,最后取得更好的学习成效。
因此,该研究最直接的教学启示是:下次上网课时,老师们记得打开摄像头,您在线上学习过程中的“露面”,如线下课堂教学一样,促进了学生的参与感、学习动机和学习成绩。
对于注意力分配上的性别差异,该研究认为可能是由于男性和女性在线上学习过程中对社交临场感存在感知差异。先前研究也发现,较于男性,女性学习者对社交临场感更加敏感,在网课中往往也能感受到更强烈的社交临场感(Johnson,2011;Rodríguez-Ardura & Meseguer-Artola, 2016)。因此,可能出于同样的原因,本研究中的女性学习者也倾向于更多地看向所呈现的老师。与此同时,作为一种增加社交临场感的社会性线索,所呈现的教师形象使男性学习者的注意力更频繁地在内容之间转换。这可能反映了男性对待社会性线索的独特方式。正如先前研究指出的那样,男性对于社会性线索不如女性敏感 (Hall et al., 2012),在由社会性线索引起的定向注意任务中的表现也差于女性 (Cooney, Brady & Ryan, 2017)。
该研究从个体差异的角度,初步探索了视频课程中教师存在效应 (instructor presence effect) 潜在的性别差异。未来研究可以继续深入,比如增强社会性线索 (guided eye gaze, gestures),进一步探究性别差异及其背后的原因和机制。
原文出处:Zhang, Y., & Yang, J. (2022). Exploring gender differences in the instructor presence effect in video lectures: An eye-tracking study. Brain Sciences, 12(7), 946.
原文链接:https://doi.org/10.3390/brainsci12070946
参考文献:
Cooney, S., Brady, N., & Ryan, K. (2017). Spatial orienting of attention to social cues is modulated by cue type and gender of viewer. Experimental Brain Research, 235(5), 1481-1490.
Hall, J., Philip, R., Marwick, K., Whalley, H., Romaniuk, L., McIntosh, A., . . . Lawrie, S. (2012). Social cognition, the male brain and the autism spectrum. PloS One, 7(12), E49033.
Johnson, R. (2011). Gender Differences in E-Learning: Communication, Social Presence, and Learning Outcomes. Journal of Organizational and End User Computing, 23(1), 79-94.
Mayer, R. E. (2014). Principles based on social cues in multimedia learning: Personalization, voice, image, and embodiment principles. In The Cambridge handbook of multimedia learning (pp. 345-368). New York: Cambridge University Press.
Rodríguez-Ardura, I., & Meseguer-Artola, A. (2016). Presence in personalised e-learning - the impact of cognitive and emotional factors and the moderating role of gender. Behaviour & Information Technology, 35(11), 1008-1018.